Modern Defense Technology ›› 2025, Vol. 53 ›› Issue (5): 80-91.DOI: 10.3969/j.issn.1009-086x.2025.05.009
• AIR SPACE DEFENSE SYSTEM AND WEAPON • Previous Articles Next Articles
Honglin LI, Yi JIANG, Song YAN, Jingnan TANG
Received:2024-06-20
Revised:2024-09-06
Online:2025-10-28
Published:2025-11-03
作者简介:李虹霖(2000-),男,四川大竹人。硕士生,研究方向为航天发射技术和发射动力学。
CLC Number:
Honglin LI, Yi JIANG, Song YAN, Jingnan TANG. Dynamic Characteristics of Telescopic Canister Gas Ejection System[J]. Modern Defense Technology, 2025, 53(5): 80-91.
李虹霖, 姜毅, 严松, 唐静楠. 伸缩筒燃气弹射系统动力学特性[J]. 现代防御技术, 2025, 53(5): 80-91.
Add to citation manager EndNote|Ris|BibTeX
URL: https://www.xdfyjs.cn/EN/10.3969/j.issn.1009-086x.2025.05.009
| 高、低压室初始参数 | 数值 | 质量与结构参数 | 数值 |
|---|---|---|---|
| 高压室初始压强/MPa | 0.1 | 导弹质量/kg | 17 780 |
| 低压室初始压强/MPa | 0.1 | 内筒质量/kg | 853 |
| 低压室初始温度/K | 300 | 内筒长度/m | 8.7 |
燃气气体常数/ (J·(kg·K)-1) | 287 | 外筒筒内长度/m | 9 |
| 燃气绝热指数 | 1.4 | 阻拦环长度/m | 0.9 |
燃气比定压热容/ (J·(kg·K)-1) | 1 004.5 | 导弹最大外径/m | 0.84 |
燃气比定容热容/ (J·(kg·K)-1) | 717.5 | 内筒外径/m | 1.06 |
| 低压室初始自由容积/m3 | 0.43 | 内筒内径/m | 1.02 |
| 高压室喷管流量修正系数 | 1.1 | 外筒内径/m | 1.16 |
| 低压室间隙修正系数 | 1 | 喷管喉部直径/m | 0.126 |
Table1 Input parameters for the set of internal ballistic equations
| 高、低压室初始参数 | 数值 | 质量与结构参数 | 数值 |
|---|---|---|---|
| 高压室初始压强/MPa | 0.1 | 导弹质量/kg | 17 780 |
| 低压室初始压强/MPa | 0.1 | 内筒质量/kg | 853 |
| 低压室初始温度/K | 300 | 内筒长度/m | 8.7 |
燃气气体常数/ (J·(kg·K)-1) | 287 | 外筒筒内长度/m | 9 |
| 燃气绝热指数 | 1.4 | 阻拦环长度/m | 0.9 |
燃气比定压热容/ (J·(kg·K)-1) | 1 004.5 | 导弹最大外径/m | 0.84 |
燃气比定容热容/ (J·(kg·K)-1) | 717.5 | 内筒外径/m | 1.06 |
| 低压室初始自由容积/m3 | 0.43 | 内筒内径/m | 1.02 |
| 高压室喷管流量修正系数 | 1.1 | 外筒内径/m | 1.16 |
| 低压室间隙修正系数 | 1 | 喷管喉部直径/m | 0.126 |
| 部件 | 材料 | 密度/ (kg·m-3) | 弹性模量/ Pa | 泊松比 |
|---|---|---|---|---|
| 内筒 | 玻璃钢 | 1.5×103 | 2.1×1011 | 0.30 |
| 阻拦环(楔形环) | 铝 | 2.7×103 | 7.1×1010 | 0.33 |
| 阻拦环(柱形环) | 聚乙烯 | 1.2×103 | 9.03×108 | 0.39 |
| 适配器 | 聚乙烯 | 1.2×103 | 9.03×108 | 0.39 |
| 其他部件 | 钢 | 7.8×103 | 2.1×1011 | 0.30 |
Table 2 Material parameters of components
| 部件 | 材料 | 密度/ (kg·m-3) | 弹性模量/ Pa | 泊松比 |
|---|---|---|---|---|
| 内筒 | 玻璃钢 | 1.5×103 | 2.1×1011 | 0.30 |
| 阻拦环(楔形环) | 铝 | 2.7×103 | 7.1×1010 | 0.33 |
| 阻拦环(柱形环) | 聚乙烯 | 1.2×103 | 9.03×108 | 0.39 |
| 适配器 | 聚乙烯 | 1.2×103 | 9.03×108 | 0.39 |
| 其他部件 | 钢 | 7.8×103 | 2.1×1011 | 0.30 |
影响 因素 | 变量 数值 | 火箭运动姿态 | 内筒振动响应 | |
|---|---|---|---|---|
最大 偏航角/(°) | 最大偏航角 速度/((°)·s-1) | 最大位移/ mm | ||
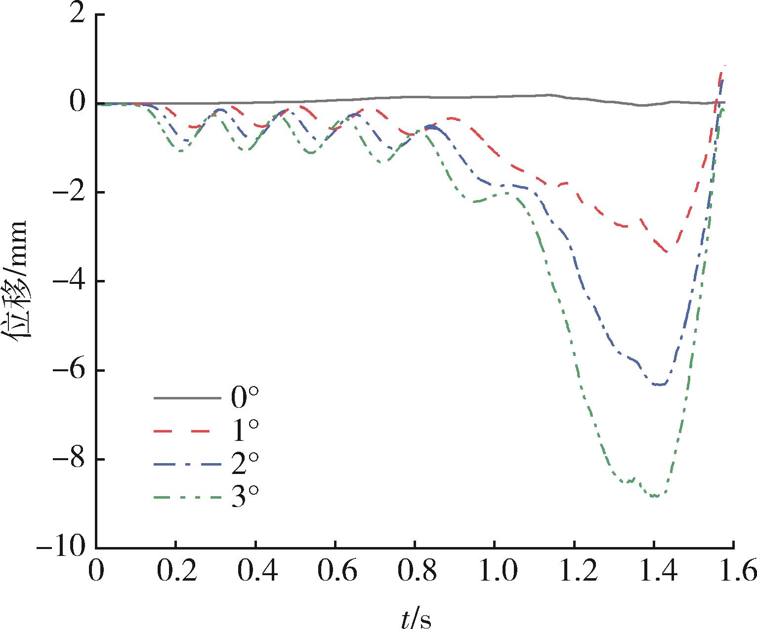
| 发射角度/(°) | 0 | 0.000 59 | 0.001 68 | 0.183 80 |
| 1 | 0.080 01 | 0.564 13 | -3.359 70 | |
| 2 | 0.153 71 | 1.016 86 | -6.331 54 | |
| 3 | 0.207 16 | 1.414 97 | -8.844 94 | |
| 推力偏心/mm | 0 | 0.000 59 | 0.001 68 | 0.183 80 |
| 10 | 0.019 48 | 0.199 70 | -1.177 83 | |
| 20 | 0.041 06 | 0.409 36 | -1.475 75 | |
| 30 | 0.062 36 | 0.586 32 | -1.989 33 | |
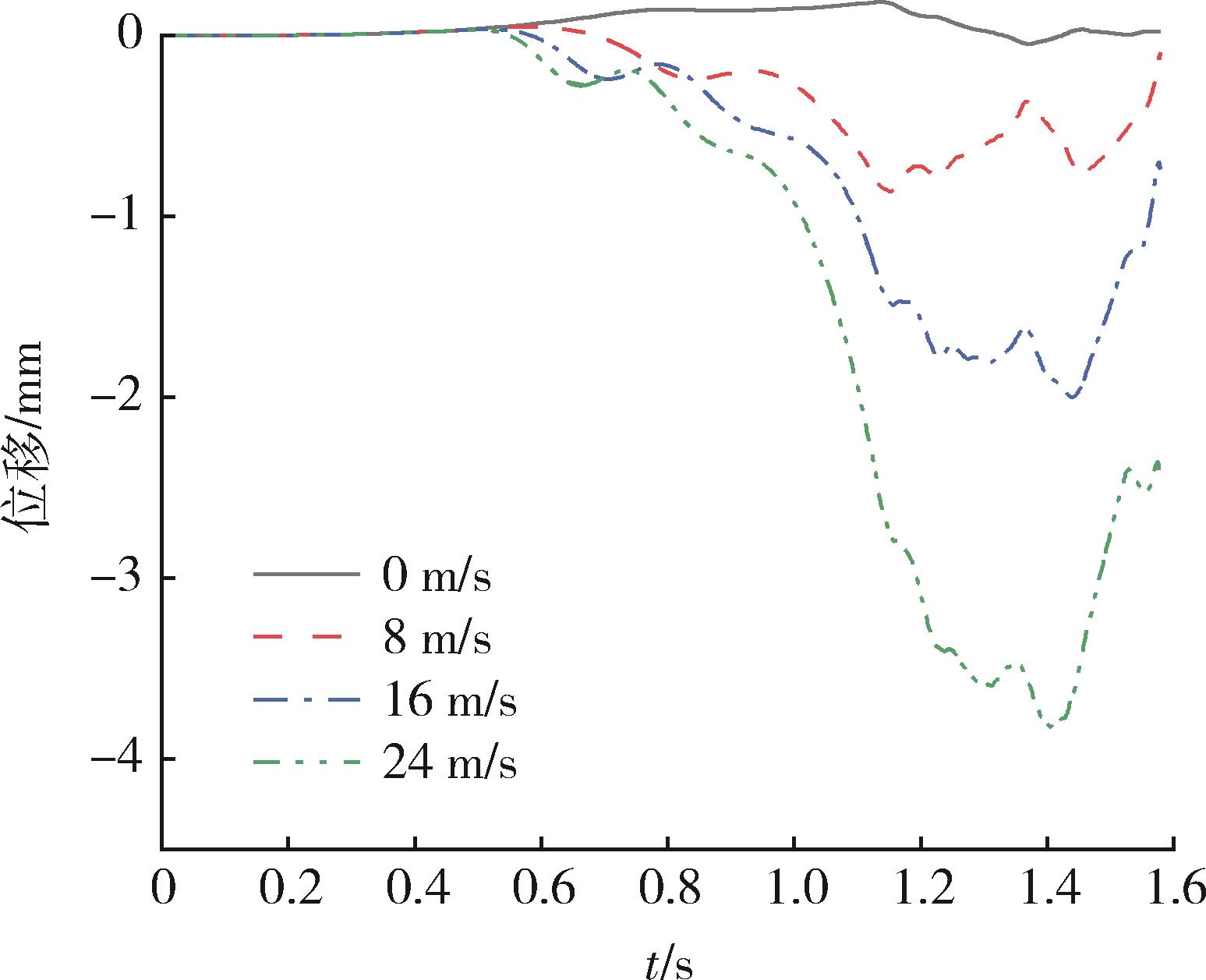
风速/ (mm·s-1) | 0 | 0.000 59 | 0.001 68 | 0.183 80 |
| 8 | 0.007 79 | 0.073 18 | -0.863 47 | |
| 16 | 0.039 4 | 0.250 61 | -2.001 46 | |
| 24 | 0.077 94 | 0.449 00 | -3.820 08 | |
Table 3 Effect of three factors on launch accuracy
影响 因素 | 变量 数值 | 火箭运动姿态 | 内筒振动响应 | |
|---|---|---|---|---|
最大 偏航角/(°) | 最大偏航角 速度/((°)·s-1) | 最大位移/ mm | ||
| 发射角度/(°) | 0 | 0.000 59 | 0.001 68 | 0.183 80 |
| 1 | 0.080 01 | 0.564 13 | -3.359 70 | |
| 2 | 0.153 71 | 1.016 86 | -6.331 54 | |
| 3 | 0.207 16 | 1.414 97 | -8.844 94 | |
| 推力偏心/mm | 0 | 0.000 59 | 0.001 68 | 0.183 80 |
| 10 | 0.019 48 | 0.199 70 | -1.177 83 | |
| 20 | 0.041 06 | 0.409 36 | -1.475 75 | |
| 30 | 0.062 36 | 0.586 32 | -1.989 33 | |
风速/ (mm·s-1) | 0 | 0.000 59 | 0.001 68 | 0.183 80 |
| 8 | 0.007 79 | 0.073 18 | -0.863 47 | |
| 16 | 0.039 4 | 0.250 61 | -2.001 46 | |
| 24 | 0.077 94 | 0.449 00 | -3.820 08 | |
| [1] | 黄永辉, 赵楠, 何春全, 等. 导弹发射方式与发展研究[J]. 中国设备工程, 2021(7): 219-220. |
| HUANG Yonghui, ZHAO Nan, HE Chunquan, et al. Missile Launching Method and Development Research[J]. China Plant Engineering, 2021(7): 219-220. | |
| [2] | 芮守祯, 邢玉明. 导弹发射动力系统发展研究[J]. 战术导弹技术, 2009(5): 4-9, 61. |
| RUI Shouzhen, XING Yuming. Development Research on Missile Launching Power System[J]. Tactical Missile Technology, 2009(5): 4-9, 61. | |
| [3] | 江晓瑞, 李卓, 钱程远, 等. 导弹弹射气体冲击载荷实验与仿真研究[J]. 振动与冲击, 2020, 39(11): 109-115. |
| JIANG Xiaorui, LI Zhuo, QIAN Chengyuan, et al. Experimental and Simulation Study on Missile Ejection Gas Impact Load[J]. Journal of Vibration and Shock, 2020, 39(11): 109-115. | |
| [4] | LI Yonghong, CHEN Jiabin, WANG Yong. The Study on Anti-High-G Technology of Missile Body Attitude Measurement System[C]∥International Conference on Automatic Control and Artificial Intelligence (ACAI 2012). Piscataway: IEEE, 2012: 2195-2198. |
| [5] | REN Jie, ZHOU Xiaohe, MA Dawei, et al. Study on Elasto-Plastic Response of the Unsupported Random Launching Site for the Missile[J]. Advanced Materials Research, 2014, 945-949: 1274-1279. |
| [6] | 郭锦炎, 赵衡柱, 邢春鹏. 自适应底座弹射过程附加载荷的半经验预示[J]. 导弹与航天运载技术, 2017(5): 77-79. |
| GUO Jinyan, ZHAO Hengzhu, XING Chunpeng. Additional Load Semi-Empirical Prediction During Launch of Adapting Base[J]. Missiles and Space Vehicles, 2017(5): 77-79. | |
| [7] | 蔺志强, 陈桂明, 刘汉增. 导弹电磁弹射系统功能分析与初步设想[J]. 舰船电子工程, 2021, 41(1): 154-157, 167. |
| LIN Zhiqiang, CHEN Guiming, LIU Hanzeng. Function Analysis And Preliminary Ideas of Missile Electromagnetic Launch System[J]. Ship Electronic Engineering, 2021, 41(1): 154-157, 167. | |
| [8] | 杨宝生, 姜毅, 杨哩娜. 基于粒子法的可变边界柔性气缸弹射研究[J]. 振动与冲击, 2023, 42(10): 43-50, 154. |
| YANG Baosheng, JIANG Yi, YANG Lina. Research on Flexible Cylinder Ejection with Variable Boundary Based on Corpuscular Method[J]. Journal of Vibration and Shock, 2023, 42(10): 43-50, 154. | |
| [9] | PANG Fuzhen, QIN Yuxuan, LI Haichao, et al. Study on Impact Resistance of Composite Rocket Launcher[J]. Reviews on Advanced Materials Science, 2021, 60(1): 615-630. |
| [10] | 丛宗杰, 申培芳, 张月义, 等. 国产PAN基碳纤维发展现状及建议[J]. 高科技纤维与应用, 2022, 47(5): 61-64. |
| CONG Zongjie, SHEN Peifang, ZHANG Yueyi, et al. Current Status and Suggsetions for the Development of Domestic PAN-Based Carbon Fibers[J]. Hi-Tech Fiber and Application, 2022, 47(5): 61-64. | |
| [11] | 谭大成. 弹射内弹道学[M]. 北京: 北京理工大学出版社, 2015. |
| TAN Dacheng. Interior Ballistics of Catapults[M]. Beijing: Beijing Institute of Technology Press, 2015. | |
| [12] | 潘霄, 姜毅, 王勃漫, 等. 火箭多级筒燃气弹射动力学特性及影响因素[J]. 兵工学报, 2022, 43(6): 1277-1287. |
| PAN Xiao, JIANG Yi, WANG Boman, et al. Dynamics Characteristics and Influencing Factors of Multistage Canister Gas Ejection of Rockets[J]. Acta Armamentarii, 2022, 43(6): 1277-1287. | |
| [13] | 缴天航, 姜毅, 王登, 等. 基于随动时变风载荷的车载导弹发射动力学研究[J]. 弹箭与制导学报, 2023, 43(1): 54-62. |
| JIAO Tianhang, JIANG Yi, WANG Deng, et al. Research on the Launching Dynamics of Vehicle-Mounted Missile Based on Following-Up and Time-Varying Wind Load[J]. Journal of Projectiles, Rockets, Missiles and Guidance, 2023, 43(1): 54-62. |
| [1] | Jiaxin LIAO, Qingbing ZHANG, Gang CHEN, Houxin HE. Detached-Eddy Simulation Under the Influence of Side Jet [J]. Modern Defense Technology, 2025, 53(2): 66-73. |
| [2] | Qianli FENG, Xianming SHI, Xiongfei QIU, Shuai LÜ, Yu ZHANG. Optimization Analysis of Ammunition Reserve Quantity in Wartime Based on System Dynamics Model [J]. Modern Defense Technology, 2024, 52(5): 173-181. |
| [3] | Xiaofeng SUN, Yi LI, Yida GUO. Dynamics Research for a Vertical Soft Launched Missile with Four Rocket Pulse Engines [J]. Modern Defense Technology, 2024, 52(2): 22-32. |
| [4] | Fagui GENG, Zichao An, Kun HE, Jian KANG, Pengkun ZHANG, Tengyue LIU, Hang XIAO. Buckling Analysis of Solid Rocket Motor Shell under External Pressure Based on ABAQUS [J]. Modern Defense Technology, 2024, 52(1): 139-146. |
| [5] | Yebo REN, Lina YANG, Song YAN. Weapon Launcher Creep During Long-Term Storage [J]. Modern Defense Technology, 2023, 51(5): 110-117. |
| [6] | Tao LIU, Zhi-cheng LI, Zi-keng XIE, Zhou JIA. Stress Analysis of Load-Bearing Parts of a Launch Vehicle Based on Finite Element Simulation Technology [J]. Modern Defense Technology, 2022, 50(3): 103-108. |
| [7] | LÜ Tie-gang, CHEN Guo-guang. Study on Kinematics Characteristics of Variant Aircraft [J]. Modern Defense Technology, 2021, 49(6): 36-42. |
| [8] | LI Wei-zhou, SONG Xiao-dong, WANG Shuai. Analysis of the Influence of the Casting Cover on the Attitude of the Rotating Cabin [J]. Modern Defense Technology, 2021, 49(5): 14-25. |
| [9] | LIU Xiang-qiu, LIU Kai, ZHANG Hong-bo. Study on the Influence of Clearances in Airborne Store Vibration [J]. Modern Defense Technology, 2021, 49(4): 24-27. |
| [10] | HUANG Yang-yang, JIANG Yi, LI Yu-long, ZHANG Man-man, YANG Chang-zhi. Impact Analysis of Structure Characteristics of Cluster Bombs on Separation Characteristics [J]. Modern Defense Technology, 2021, 49(2): 35-42. |
| Viewed | ||||||
|
Full text |
|
|||||
|
Abstract |
|
|||||